mg±ùÇòÍ»ÆÆºÀ»ª°æÊÔÍæ

½Ó´ýÀ´µ½mg±ùÇòÍ»ÆÆºÀ»ª°æÊÔÍæ!

ÁªÏµÈÈÏߣº020-38797541 ÓïÑÔÑ¡Ôñ£ºÖÐÎÄ | ENGLISH

mg±ùÇòÍ»ÆÆºÀ»ª°æÊÔÍæ

mg±ùÇòÍ»ÆÆºÀ»ª°æÊÔÍæ(Öйú)¹Ù·½ÍøÕ¾
News Center

ÐÂÎÅ×ÊѶ

֪ͨͨ¸æ
¹«Ë¾ÐÂÎÅ
ýÌ屨µÀ
ÊÓÆµ×¨Çø
ÐÐÒµ×ÊѶ
ÄúµÄλÖãºÐÂÎÅ×ÊѶ > ÐÐÒµ×ÊѶ

³£Î³¬µ¼ÖÊÁÏ£ºÓÖÒ»´ÎÀÇÀ´ÁË£¿

2023-07-31 11:50:56¡¡ÈªÔ´: ÊÂÒµÌõ¼Ç ÆëÃùÊÓ²ì ¹ã¶«mg±ùÇòÍ»ÆÆºÀ»ª°æÊÔÍæÕûºÏ

½üÆÚº«¹úÎïÀíѧ¼ÒÍŶӷ¢Ã÷ÁËÌìÏÂÊ׸ö³£Î³¬µ¼ÖÊÁϵÄÐÂÎÅ»ð±éÈ«Íø ¡£ËûÃdzƽ«Ç¦¡¢Í­¡¢Á×ÈýÖÖÖÊÁÏÆ¾Ö¤Ò»¶¨×éºÏºó»®·Ö»ìÏý¼ÓÈÈ£¬×îÖÕ»ñµÃÁËÒ»ÖÖǦÁ×»Òʯ¾§Ì壬ËûÃǽ«ÆäÃüÃûΪLK-99 ¡£ÖÊÁϽÐǦÁ×»Òʯ ¡£


mg±ùÇòÍ»ÆÆºÀ»ª°æÊÔÍæ(Öйú)¹Ù·½ÍøÕ¾


³¬µ¼ÊÇÖÊÁÏÔÚÒ»¶¨Î¶Èϵç×è±äΪ0µÄÎïÀíÕ÷Ïóͬʱ³¬µ¼ÌåÉÐÓÐÁíÒ»ÖÖÐÔ×Ó³ÆÎªÍêÈ«¿¹´ÅÐÔ ¡£ÖÊÁÏתÄð³É³¬µ¼Ìåºó£¬ÌåÄڵĴų¡»á¡°ÇãÔþ¡±ÏÕЩËùÓеĴÅͨÁ¿£¬´ÅÁ¦ÏßÎÞ·¨´©Í¸³¬µ¼Ìå ¡£


Õâ¸öÕ÷ÏóÒ²±»³ÆÎªÂõ˹ÄÉЧӦ ¡£³¬µ¼ÌåµÄÓ¦ÓÃÓÐÍûΪ¿Æ¼¼´øÀ´ÖØ´óÀå¸ï£¬µ«¿àÓÚ³¬µ¼×ª±äζȹýµÍ£¬Ó¦ÓÃÊÜÏÞ £»ÊÒÎÂÌõ¼þϵij¬µ¼ÌåÊdz¬µ¼Ñо¿Ö°Ô±µÄ×îÖÕÃÎÏë ¡£ÈôÊÇÕæµÄ¼¸ÌìºóÑéÖ¤£¬³£Î³£Ñ¹³¬µ¼£¬Á×½«»áÉÏÉýΪµÚËĴι¤Òµ¸ïÃüµÄ½¹µãÉÏÓÎÖÊÁÏ


×ÅʵÔÚ½ñÄê3Ô¾ÍÔøÓÐÒ»¸öºÍÊÒ㬵¼Ïà¹ØµÄ±¨¸æ£¬µ«×îÖÕ±»ÊÓΪ֤¾Ýȱ·¦ºÍÔì¼Ù¶øÊܵ½ÖÊÒÉ ¡£


mg±ùÇòÍ»ÆÆºÀ»ª°æÊÔÍæ(Öйú)¹Ù·½ÍøÕ¾


ÄÇΪʲô´Ë´Îº«¹úÍŶӵÄÐÂÎÅÒÀ¾É»ð±éÈ«Íø ¡£Ò»ÊÇÈËÃÇ̫ϣÍûËüÊÇÕæµÄ £»¶þÊÇÔÚÓÚÕâ´Îº«¹úÍŶӲ»µ«Ðû²¼ÁËËûÃÇʹÓõÄÖÊÁÏ£¬»¹ÔÚÂÛÎÄÖÐÏÈÈÝÁËÏêϸµÄÖÊÁÏÖÆ±¸ÒªÁ죬²¢ÇÒÖÊÁÏÒòËØ½ÏÁ¿¼òÆÓºÍÃ÷È· ¡£ÏëÒªÖÆ±¸³öÏàͬµÄÖÊÁÏ£¬ÄÃÀ´Ä¥Á·º«¹úÍŶӵÄʵÑéЧ¹û£¬ÄѶȲ¢²»´ó ¡£ÓÐЩÍâÑóÖ÷²¥ÉõÖÁÔÚ¼ÒÀï¾ÙÐÐʵÑé ¡£


µÚÒ»²½£ºÓÃĦ¶û±È1£º1µÄÑõ»¯Ç¦ºÍÁòËáǦ·ÛÄ©ÔÚ725ÉãÊ϶ȺÍ10^-3TorrÌõ¼þϱ¬·¢¹ÌÏ໯ѧ·´Ó¦£¬ºÏ³É»ÆÇ¦·¯ £»

µÚ¶þ²½£ºÔÚ550ÉãÊ϶ȺÍ10^-3TorrÌõ¼þϺϳÉÁ×»¯ÑÇÍ­£¨Ò»¡¢¶þ²½¿É×ÔÁ¦¾ÙÐУ© £»

µÚÈý²½£ºÒ»¡¢¶þ²½µÄ²úƲÙÐÄ¥³É·ÛÄ©ºó£¬ÔÚ10^-3TorrÌõ¼þÏ£¬¼ÓÈȵ½925ÉãÊ϶È£¬ºÏ³É²ôCuµÄǦ-Á×»Òʯ£¨¼´LK-99£© ¡£


mg±ùÇòÍ»ÆÆºÀ»ª°æÊÔÍæ(Öйú)¹Ù·½ÍøÕ¾


½á¹¹ÓëÎïÐÔ

ºìÏßÊÇǦ-Á×»Òʯ£¬ºÚÏßÊÇLK-99£¬¿É¼û²ôÈëÉÙÁ¿µÄCuºó£¬¾§¸ñ³£Êý±äСÁË£¬¼´ÖÊÁϱ¬·¢ÁËËõ¶Ì ¡£

mg±ùÇòÍ»ÆÆºÀ»ª°æÊÔÍæ(Öйú)¹Ù·½ÍøÕ¾


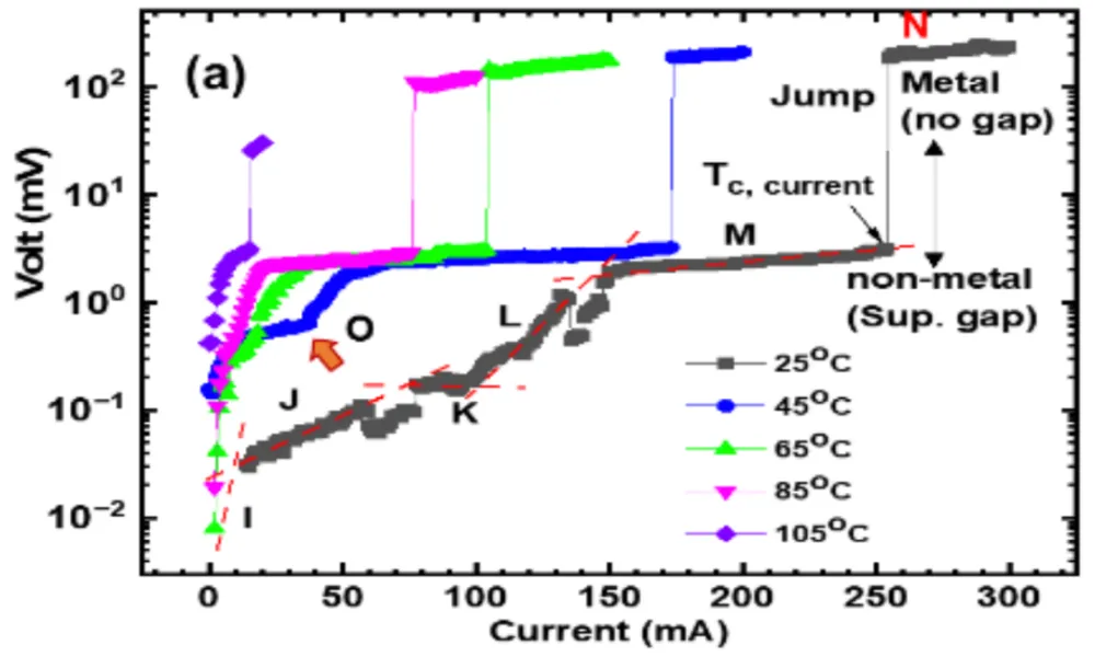
×ÝÖáÊǵçѹ£¬ºáÖáÊǵçÁ÷£¬¿É¼ûÔÚÊÒÎÂÇø¼ä£¬µçѹΪ0ʱ£¬µçÁ÷¿ÉÒÔ²»ÊÇ0 ¡£

mg±ùÇòÍ»ÆÆºÀ»ª°æÊÔÍæ(Öйú)¹Ù·½ÍøÕ¾

×ÝÖáÊǵçѹ£¬ºáÖáÊǵçÁ÷£¬¿É¼ûÔÚÊÒÎÂÇø¼ä£¬µçѹΪ0ʱ£¬µçÁ÷¿ÉÒÔ²»ÊÇ0 ¡£

mg±ùÇòÍ»ÆÆºÀ»ª°æÊÔÍæ(Öйú)¹Ù·½ÍøÕ¾


µç×èÂÊȷʵÓÐÒ»¸öÌø±ä£¬µ«Ðè×¢ÖØµÄÊǽðÊôµÄµç×èÂÊÊÇ10^-6¦¸¡¤cm£¬»»¾ä»°ËµÉÏͼµÄÕÉÁ¿¾«¶ÈÊÇÔ¶Ô¶²»·óµÄ ¡£Õâ¿´ÉÏÈ¥¸üÏñÊDZ¬·¢ÁËÒ»¸ö¾øÔµÌå-½ðÊôת±ä ¡£

mg±ùÇòÍ»ÆÆºÀ»ª°æÊÔÍæ(Öйú)¹Ù·½ÍøÕ¾



mg±ùÇòÍ»ÆÆºÀ»ª°æÊÔÍæ(Öйú)¹Ù·½ÍøÕ¾


ºÚÇò´ú±íPb1£¬Ìṩ֧³Ö/¿ò¼Ü×÷Ó㬲¿·Ö±»CuÈ¡´úºó£¬»á±¬·¢Ò»¸öѹËõµÄЧӦ£¬»ÒÇò´ú±íPb2£¬Öù×´ÅÅÁеÄPb2×é³ÉÒ»¸ö1άϵͳ£¬Ìض¨Î¶ÈÏ»¹¿É±¬·¢µçºÉÃܶȲ¨£¨CDW£©£¬¼´µçºÉµÄÖÜÆÚÐÔµ÷ÖÆ ¡£

mg±ùÇòÍ»ÆÆºÀ»ª°æÊÔÍæ(Öйú)¹Ù·½ÍøÕ¾



mg±ùÇòÍ»ÆÆºÀ»ª°æÊÔÍæ(Öйú)¹Ù·½ÍøÕ¾



mg±ùÇòÍ»ÆÆºÀ»ª°æÊÔÍæ(Öйú)¹Ù·½ÍøÕ¾


²»¹ýÏà¹Ø×¨¼ÒÈÔ¶Ô´Ë´ÎʵÑé±£´æÖÊÒÉ£¬ÃÀ¹úÈ˹¤ÖÇÄܹ«Ë¾OpenAIµÄÁªºÏÊ×´´È˼æÊ×ϯִÐйÙɽķ¡¤°ÂÌØÂü£¨Sam Altman£©½ÒÏþ̸Â۳ƣ¬¡°ÎÒºÜÊÇÏëÏàÐÅ£¬µ«ÎÒÒÔΪÎÒÃǶÔÒ»¸ö¶þ´ÅÌ壨diamagnet£©¹ýÓÚ¼¤¶¯ÁË ¡£¡±


³¬µ¼ÁìÓòÑо¿×¨¼Ò¡¢¼ÓÖÝ´óѧʥµØÑǸç·ÖУÀíϵ½ÌÊÚºÀ¶ûºÕ¡¤ºÕÏ££¨Jorge Hirsch£©Ì¸µ½º«¹úǰÊö³¬µ¼ÖÊÁÏÐÂÂÛÎÄʱ˵£º¡°Õâ²»Êdz¬µ¼ ¡£ÕâÊÇʵÑéÐÔ¼ÙÏó¡¢Ò»ÏáÇéÔ¸µÄÏë·¨ºÍÔã¸âµÄÅжϣ¨ÔÚ×îºÃµÄÇéÐÎÏ£© ¡£¡±


¾Ý¿Æ¼¼ÐÂÎÅýÌ塶пÆÑ§¼Ò¡·£¨New Scientist£©26Èյı¨µÀ£¬Å£½ò´óѧÖÊÁÏϵ½ÌÊÚËÕɺÄÈ¡¤Ë¹ÅåÀÕ£¨Susannah Speller£©ÌåÏÖ£¬ÏÖÔÚ˵ÕâЩÑùÆ·Äܹ»³¬µ¼£¬»¹ÎªÊ±ÉÐÔç ¡£ËýÌåÏÖ£¬µ±Ò»ÖÖÖÊÁϱäµÃ³¬µ¼Ê±£¬ÔÚÐí¶àÕÉÁ¿ÖÐÓ¦¸ÃÕ¹ÏÖ³öÃ÷È·µÄÌØÕ÷ ¡£µ«ÆäÖеÄÁ½¸ö²ÎÊý¡ª¡ª¶Ô´Å³¡µÄÏìÓ¦ÇéÐκÍÒ»¸ö±»³ÆÎªÈÈÈݵIJÎÊý£¬Ç°ÊöÂÛÎÄûÓÐչʾÏà¹ØÊý¾Ý ¡£


ÎÒ¹úÄϾ©´óѧÎïÀíѧԺ½ÌÊÚÎź £»¢ÌåÏÖ¡°ÎÒÃÇ×ÐϸÆÊÎö¹ýËûÃǵÄÊý¾Ý£¬´ÓÈý¸ö·½Ã桪µç×è¡¢´Å»¯ºÍËùνµÄ´ÅÐü¸¡£¬¶¼È±·¦ÒÔ˵Ã÷ËüÊdz¬µ¼Õ÷Ïó ¡£ÎÒÃÇÅжϼ«ÓпÉÄÜÊǸö¼ÙÏó ¡£¡±


ËäÈ»ÓйØÑо¿³ö³£Î³¬µ¼ÌåÖÊÁϵÄÐÂÎÅÒ»Ö±¶¼ÊÇÀÇÀ´ÁË£¬µ«ÈËÃÇÒ²¶¼Ï£ÍûÕâÊÇÕæµÄ ¡£ÊÂʵÑо¿³£Î³¬µ¼ÖÊÁÏÊǺÜÊÇÖ÷ÒªµÄÒ»¼þÊÂÇ飬ÈôÊÇÄܹýʵÏÖ£¬È·ÊµÄܹ»´øÀ´Ðí¶à·½ÃæµÄ¸Ä±ä ¡£Ò»µ©±»Ö¤Êµ£¬Õ⽫ÊÇÒ»³¡ÕæÕýµÄ¸ïÃü£¬Ò»³¡Éî¿ÌµÄ¹¤Òµ½çµÄ¸ïÃü ¡£

³£Î³¬µ¼ÖÊÁÏ£ºÓÖÒ»´ÎÀÇÀ´ÁË£¿

2023-07-31 11:50:56¡¡ÈªÔ´: ÊÂÒµÌõ¼Ç ÆëÃùÊÓ²ì ¹ã¶«mg±ùÇòÍ»ÆÆºÀ»ª°æÊÔÍæÕûºÏ

½üÆÚº«¹úÎïÀíѧ¼ÒÍŶӷ¢Ã÷ÁËÌìÏÂÊ׸ö³£Î³¬µ¼ÖÊÁϵÄÐÂÎÅ»ð±éÈ«Íø ¡£ËûÃdzƽ«Ç¦¡¢Í­¡¢Á×ÈýÖÖÖÊÁÏÆ¾Ö¤Ò»¶¨×éºÏºó»®·Ö»ìÏý¼ÓÈÈ£¬×îÖÕ»ñµÃÁËÒ»ÖÖǦÁ×»Òʯ¾§Ì壬ËûÃǽ«ÆäÃüÃûΪLK-99 ¡£ÖÊÁϽÐǦÁ×»Òʯ ¡£


mg±ùÇòÍ»ÆÆºÀ»ª°æÊÔÍæ(Öйú)¹Ù·½ÍøÕ¾


³¬µ¼ÊÇÖÊÁÏÔÚÒ»¶¨Î¶Èϵç×è±äΪ0µÄÎïÀíÕ÷Ïóͬʱ³¬µ¼ÌåÉÐÓÐÁíÒ»ÖÖÐÔ×Ó³ÆÎªÍêÈ«¿¹´ÅÐÔ ¡£ÖÊÁÏתÄð³É³¬µ¼Ìåºó£¬ÌåÄڵĴų¡»á¡°ÇãÔþ¡±ÏÕЩËùÓеĴÅͨÁ¿£¬´ÅÁ¦ÏßÎÞ·¨´©Í¸³¬µ¼Ìå ¡£


Õâ¸öÕ÷ÏóÒ²±»³ÆÎªÂõ˹ÄÉЧӦ ¡£³¬µ¼ÌåµÄÓ¦ÓÃÓÐÍûΪ¿Æ¼¼´øÀ´ÖØ´óÀå¸ï£¬µ«¿àÓÚ³¬µ¼×ª±äζȹýµÍ£¬Ó¦ÓÃÊÜÏÞ £»ÊÒÎÂÌõ¼þϵij¬µ¼ÌåÊdz¬µ¼Ñо¿Ö°Ô±µÄ×îÖÕÃÎÏë ¡£ÈôÊÇÕæµÄ¼¸ÌìºóÑéÖ¤£¬³£Î³£Ñ¹³¬µ¼£¬Á×½«»áÉÏÉýΪµÚËĴι¤Òµ¸ïÃüµÄ½¹µãÉÏÓÎÖÊÁÏ


×ÅʵÔÚ½ñÄê3Ô¾ÍÔøÓÐÒ»¸öºÍÊÒ㬵¼Ïà¹ØµÄ±¨¸æ£¬µ«×îÖÕ±»ÊÓΪ֤¾Ýȱ·¦ºÍÔì¼Ù¶øÊܵ½ÖÊÒÉ ¡£


mg±ùÇòÍ»ÆÆºÀ»ª°æÊÔÍæ(Öйú)¹Ù·½ÍøÕ¾


ÄÇΪʲô´Ë´Îº«¹úÍŶӵÄÐÂÎÅÒÀ¾É»ð±éÈ«Íø ¡£Ò»ÊÇÈËÃÇ̫ϣÍûËüÊÇÕæµÄ £»¶þÊÇÔÚÓÚÕâ´Îº«¹úÍŶӲ»µ«Ðû²¼ÁËËûÃÇʹÓõÄÖÊÁÏ£¬»¹ÔÚÂÛÎÄÖÐÏÈÈÝÁËÏêϸµÄÖÊÁÏÖÆ±¸ÒªÁ죬²¢ÇÒÖÊÁÏÒòËØ½ÏÁ¿¼òÆÓºÍÃ÷È· ¡£ÏëÒªÖÆ±¸³öÏàͬµÄÖÊÁÏ£¬ÄÃÀ´Ä¥Á·º«¹úÍŶӵÄʵÑéЧ¹û£¬ÄѶȲ¢²»´ó ¡£ÓÐЩÍâÑóÖ÷²¥ÉõÖÁÔÚ¼ÒÀï¾ÙÐÐʵÑé ¡£


µÚÒ»²½£ºÓÃĦ¶û±È1£º1µÄÑõ»¯Ç¦ºÍÁòËáǦ·ÛÄ©ÔÚ725ÉãÊ϶ȺÍ10^-3TorrÌõ¼þϱ¬·¢¹ÌÏ໯ѧ·´Ó¦£¬ºÏ³É»ÆÇ¦·¯ £»

µÚ¶þ²½£ºÔÚ550ÉãÊ϶ȺÍ10^-3TorrÌõ¼þϺϳÉÁ×»¯ÑÇÍ­£¨Ò»¡¢¶þ²½¿É×ÔÁ¦¾ÙÐУ© £»

µÚÈý²½£ºÒ»¡¢¶þ²½µÄ²úƲÙÐÄ¥³É·ÛÄ©ºó£¬ÔÚ10^-3TorrÌõ¼þÏ£¬¼ÓÈȵ½925ÉãÊ϶È£¬ºÏ³É²ôCuµÄǦ-Á×»Òʯ£¨¼´LK-99£© ¡£


mg±ùÇòÍ»ÆÆºÀ»ª°æÊÔÍæ(Öйú)¹Ù·½ÍøÕ¾


½á¹¹ÓëÎïÐÔ

ºìÏßÊÇǦ-Á×»Òʯ£¬ºÚÏßÊÇLK-99£¬¿É¼û²ôÈëÉÙÁ¿µÄCuºó£¬¾§¸ñ³£Êý±äСÁË£¬¼´ÖÊÁϱ¬·¢ÁËËõ¶Ì ¡£

mg±ùÇòÍ»ÆÆºÀ»ª°æÊÔÍæ(Öйú)¹Ù·½ÍøÕ¾


×ÝÖáÊǵçѹ£¬ºáÖáÊǵçÁ÷£¬¿É¼ûÔÚÊÒÎÂÇø¼ä£¬µçѹΪ0ʱ£¬µçÁ÷¿ÉÒÔ²»ÊÇ0 ¡£

mg±ùÇòÍ»ÆÆºÀ»ª°æÊÔÍæ(Öйú)¹Ù·½ÍøÕ¾

×ÝÖáÊǵçѹ£¬ºáÖáÊǵçÁ÷£¬¿É¼ûÔÚÊÒÎÂÇø¼ä£¬µçѹΪ0ʱ£¬µçÁ÷¿ÉÒÔ²»ÊÇ0 ¡£

mg±ùÇòÍ»ÆÆºÀ»ª°æÊÔÍæ(Öйú)¹Ù·½ÍøÕ¾


µç×èÂÊȷʵÓÐÒ»¸öÌø±ä£¬µ«Ðè×¢ÖØµÄÊǽðÊôµÄµç×èÂÊÊÇ10^-6¦¸¡¤cm£¬»»¾ä»°ËµÉÏͼµÄÕÉÁ¿¾«¶ÈÊÇÔ¶Ô¶²»·óµÄ ¡£Õâ¿´ÉÏÈ¥¸üÏñÊDZ¬·¢ÁËÒ»¸ö¾øÔµÌå-½ðÊôת±ä ¡£

mg±ùÇòÍ»ÆÆºÀ»ª°æÊÔÍæ(Öйú)¹Ù·½ÍøÕ¾



mg±ùÇòÍ»ÆÆºÀ»ª°æÊÔÍæ(Öйú)¹Ù·½ÍøÕ¾


ºÚÇò´ú±íPb1£¬Ìṩ֧³Ö/¿ò¼Ü×÷Ó㬲¿·Ö±»CuÈ¡´úºó£¬»á±¬·¢Ò»¸öѹËõµÄЧӦ£¬»ÒÇò´ú±íPb2£¬Öù×´ÅÅÁеÄPb2×é³ÉÒ»¸ö1άϵͳ£¬Ìض¨Î¶ÈÏ»¹¿É±¬·¢µçºÉÃܶȲ¨£¨CDW£©£¬¼´µçºÉµÄÖÜÆÚÐÔµ÷ÖÆ ¡£

mg±ùÇòÍ»ÆÆºÀ»ª°æÊÔÍæ(Öйú)¹Ù·½ÍøÕ¾



mg±ùÇòÍ»ÆÆºÀ»ª°æÊÔÍæ(Öйú)¹Ù·½ÍøÕ¾



mg±ùÇòÍ»ÆÆºÀ»ª°æÊÔÍæ(Öйú)¹Ù·½ÍøÕ¾


²»¹ýÏà¹Ø×¨¼ÒÈÔ¶Ô´Ë´ÎʵÑé±£´æÖÊÒÉ£¬ÃÀ¹úÈ˹¤ÖÇÄܹ«Ë¾OpenAIµÄÁªºÏÊ×´´È˼æÊ×ϯִÐйÙɽķ¡¤°ÂÌØÂü£¨Sam Altman£©½ÒÏþ̸Â۳ƣ¬¡°ÎÒºÜÊÇÏëÏàÐÅ£¬µ«ÎÒÒÔΪÎÒÃǶÔÒ»¸ö¶þ´ÅÌ壨diamagnet£©¹ýÓÚ¼¤¶¯ÁË ¡£¡±


³¬µ¼ÁìÓòÑо¿×¨¼Ò¡¢¼ÓÖÝ´óѧʥµØÑǸç·ÖУÀíϵ½ÌÊÚºÀ¶ûºÕ¡¤ºÕÏ££¨Jorge Hirsch£©Ì¸µ½º«¹úǰÊö³¬µ¼ÖÊÁÏÐÂÂÛÎÄʱ˵£º¡°Õâ²»Êdz¬µ¼ ¡£ÕâÊÇʵÑéÐÔ¼ÙÏó¡¢Ò»ÏáÇéÔ¸µÄÏë·¨ºÍÔã¸âµÄÅжϣ¨ÔÚ×îºÃµÄÇéÐÎÏ£© ¡£¡±


¾Ý¿Æ¼¼ÐÂÎÅýÌ塶пÆÑ§¼Ò¡·£¨New Scientist£©26Èյı¨µÀ£¬Å£½ò´óѧÖÊÁÏϵ½ÌÊÚËÕɺÄÈ¡¤Ë¹ÅåÀÕ£¨Susannah Speller£©ÌåÏÖ£¬ÏÖÔÚ˵ÕâЩÑùÆ·Äܹ»³¬µ¼£¬»¹ÎªÊ±ÉÐÔç ¡£ËýÌåÏÖ£¬µ±Ò»ÖÖÖÊÁϱäµÃ³¬µ¼Ê±£¬ÔÚÐí¶àÕÉÁ¿ÖÐÓ¦¸ÃÕ¹ÏÖ³öÃ÷È·µÄÌØÕ÷ ¡£µ«ÆäÖеÄÁ½¸ö²ÎÊý¡ª¡ª¶Ô´Å³¡µÄÏìÓ¦ÇéÐκÍÒ»¸ö±»³ÆÎªÈÈÈݵIJÎÊý£¬Ç°ÊöÂÛÎÄûÓÐչʾÏà¹ØÊý¾Ý ¡£


ÎÒ¹úÄϾ©´óѧÎïÀíѧԺ½ÌÊÚÎź £»¢ÌåÏÖ¡°ÎÒÃÇ×ÐϸÆÊÎö¹ýËûÃǵÄÊý¾Ý£¬´ÓÈý¸ö·½Ã桪µç×è¡¢´Å»¯ºÍËùνµÄ´ÅÐü¸¡£¬¶¼È±·¦ÒÔ˵Ã÷ËüÊdz¬µ¼Õ÷Ïó ¡£ÎÒÃÇÅжϼ«ÓпÉÄÜÊǸö¼ÙÏó ¡£¡±


ËäÈ»ÓйØÑо¿³ö³£Î³¬µ¼ÌåÖÊÁϵÄÐÂÎÅÒ»Ö±¶¼ÊÇÀÇÀ´ÁË£¬µ«ÈËÃÇÒ²¶¼Ï£ÍûÕâÊÇÕæµÄ ¡£ÊÂʵÑо¿³£Î³¬µ¼ÖÊÁÏÊǺÜÊÇÖ÷ÒªµÄÒ»¼þÊÂÇ飬ÈôÊÇÄܹýʵÏÖ£¬È·ÊµÄܹ»´øÀ´Ðí¶à·½ÃæµÄ¸Ä±ä ¡£Ò»µ©±»Ö¤Êµ£¬Õ⽫ÊÇÒ»³¡ÕæÕýµÄ¸ïÃü£¬Ò»³¡Éî¿ÌµÄ¹¤Òµ½çµÄ¸ïÃü ¡£

¹ØÓÚmg±ùÇòÍ»ÆÆºÀ»ª°æÊÔÍæ
¹ØÓÚmg±ùÇòÍ»ÆÆºÀ»ª°æÊÔÍæ ÆóÒµÎÄ»¯ ×ÊÖÊÐÅÏ¢ ÉùÓþÐÅÏ¢
¾«Æ·°¸Àý
µçÁ¦Ïß·Ӧ¼±ÇÀÐÞϵͳ£¨ERS£© Ê©¹¤½¨Éè
½¹µãÊÖÒÕ
µçÁ¦Ïß·Ӧ¼±ÇÀÐÞϵͳ£¨ERS£© TSÐÂ̼ÏËάµ¼Ïß ¹â·ü·¢µç
ÐÂÎÅ×ÊѶ
֪ͨͨ¸æ ¹«Ë¾ÐÂΊýÌ屨µÀ ÐÐÒµ×ÊѶ
ÁªÏµmg±ùÇòÍ»ÆÆºÀ»ª°æÊÔÍæ

ÁªÏµµç»°£º020-38797541

ÔÚÏßQQ£º 2430586914

ÔÚÏßÓÊÏ䣺hfpowerzmx@126.com

ÓÊÕþ±àºÅ£º511400

ÁªÏµµØµã£º¹ãÖÝÊÐÌìºÓÇøÌìºÓÖ±½Ö148ºÅÌåÓýÎ÷Ô·302·¿

¡¾ÍøÕ¾µØÍ¼¡¿¡¾sitemap¡¿